英语词典化工词典

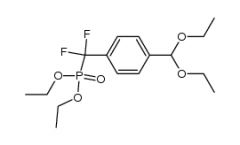
diethyl ((4-(diethoxymethyl)phenyl)difluoromethyl)phosphonate

diethyl ((4-(diethoxymethyl)phenyl)difluoromethyl)phosphonate


  • 中文别名:diethyl ((4-(diethoxymethyl)phenyl)difluoromethyl)phosphonate
  • 中文释义:diethyl ((4-(diethoxymethyl)phenyl)difluoromethyl)phosphonate
  • 英文别名:diethyl ((4-(diethoxymethyl)phenyl)difluoromethyl)phosphonate 
  • CAS No.:271799-68-9
  • 分子式:

    C16H25F2O5P

  • 分子量:366.33700
  • InChI:The Key: CWHQUJWZWQIGSP-UHFFFAOYSA-N
  • 分子结构式:

热门化工词典词汇